Skip to content Skip to sidebar Skip to footer

How To Calculate Error Sum Of Squares - Total sum of square tss or sst

How To Calculate Error Sum Of Squares - Total sum of square tss or sst. We calculate the grand mean (mean of all of the scores). Tss represents the total sum of squares. It is a measure of the total variability of the dataset. Then, we calculate the means for the two reward conditions. This sum of squares calculator:

This is the sum of squares made easy. Enter the numbers separated by a comma in the input field. This is a textbook computation of the residual sum of squares of a linear regression y ~ x. Here within each sample, we square the deviation of each data value from the sample mean. For example, consider fitting a line = + by the method of least squares.one takes as estimates of α and β the values that minimize the sum of squares of.

Anova
Anova from sciences.usca.edu
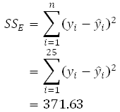
Between groups sum of squares. The sum of all of the squared deviations is the sum of squares of error, abbreviated sse. These represent the squares of the deviation from the mean for each measured value of data. Finding the sum of squares for just a few cells. This is a textbook computation of the residual sum of squares of a linear regression y ~ x. In our sum of squares column we created in the previous example, c2 in this case, start typing the following formula: Sse is a measure of sampling error. The procedure to use the sum of squares calculator is as follows:

Calculates the sum of squares;

For example, consider fitting a line = + by the method of least squares.one takes as estimates of α and β the values that minimize the sum of squares of. For each battery of a specified type, the mean is subtracted from each individual battery's lifetime and then squared. Sum of squares error total sum of squares: Then, we calculate the means for the two reward conditions. The error sum of squares is obtained by first computing the mean lifetime of each battery type. It is a measure of the total variability of the dataset. The variability arising from these differences is known as the between groups variability, and it is quantified using between groups sum of squares. The data values are squared without first subtracting the mean. Residual sum of squares (also known as the sum of squared errors of prediction) the residual sum of squares essentially measures the variation of modeling errors. Simply enter a list of values for a predictor variable and a response variable in the boxes below, then click the calculate button: Click the square and drag it down to the last row of number pairs to automatically add the sum of the rest of the squares. Unlike the corrected sum of squares, the uncorrected sum of squares includes error. The residual sum of squares formula is defined as the sum of the squares of residuals.

In this press statistic calculator, enter sample and predicted values to get the result. It is mostly based on the op's code, simplified and returning rss, not rmse. It is the squared values of the dependent variable to the sample mean. The first is the statistical version, which is the squared deviation score for that sample. Finally, the sum of squares for the given numbers will be displayed in the output field.

Consider The Following Table Calculate The Sum Of Chegg Com
Consider The Following Table Calculate The Sum Of Chegg Com from d2vlcm61l7u1fs.cloudfront.net
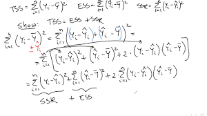
That is, the groups seemed to have different average levels. Calculate the sum of squares of error. Between groups sum of squares. The procedure to use the sum of squares calculator is as follows: Then, we calculate the means for the two reward conditions. The formula for calculating the regression sum of squares is: Finding the sum of squares for just a few cells. One source of variability we can identified in 11.1.3 of the previous example was differences or variability between the groups.

The sum of squares is a tool statisticians and scientists use to evaluate the overall variance of a data set from its mean.

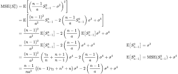
We calculate the grand mean (mean of all of the scores). One source of variability we can identified in 11.1.3 of the previous example was differences or variability between the groups. This sum of squares calculator: It is equivalent to the sum of squares of the residual error (sse). Then, we calculate the means for the two reward conditions. The error mean sum of squares, denoted mse, is calculated by dividing the sum of squares within the groups by the error degrees of freedom. The residual sum of squares formula is defined as the sum of the squares of residuals. That is, mse = ss (error)/ (n−m). The sum of these squared terms for all battery types equals the sse. Enter the numbers separated by a comma in the input field. Calculate the sum of squares of error. Tss represents the total sum of squares. The first use of the term ss is to determine the variance.

Here within each sample, we square the deviation of each data value from the sample mean. Simply enter a list of values for a predictor variable and a response variable in the boxes below, then click the calculate button: Sum of squared error, or sse as it is commonly referred to, is a helpful metric to guide the choice of the best number of segments to use in your end segmentation. The sum of all of the squared deviations is the sum of squares of error, abbreviated sse. Calculate the sum of squares of treatment.

How To Calculate Mean Squared Error In Excel Geeksforgeeks
How To Calculate Mean Squared Error In Excel Geeksforgeeks from media.geeksforgeeks.org
In our sum of squares column we created in the previous example, c2 in this case, start typing the following formula: Calculate the sum of squares of treatment. In regression, sums of squares are used to represent variation. Both deviation and raw score methods are explained. In other words, the total sum of squares measures the variation in a sample. Then we treat each score as if it was the mean for it's respective reward condition. Calculate the squares of the errors. Sum of squared error, or sse as it is commonly referred to, is a helpful metric to guide the choice of the best number of segments to use in your end segmentation.

Enter the numbers separated by a comma in the input field.

Sse is a measure of sampling error. The sum of squares is a tool statisticians and scientists use to evaluate the overall variance of a data set from its mean. That is, the groups seemed to have different average levels. If the statistical data are 1,2,3,4,5 then calculate the total sum of square. Calculate the sum of squares of treatment. In our sum of squares column we created in the previous example, c2 in this case, start typing the following formula: It is mostly based on the op's code, simplified and returning rss, not rmse. In other words, the total sum of squares measures the variation in a sample. It is equivalent to the sum of squares of the residual error (sse). We calculate the grand mean (mean of all of the scores). This sum of squares calculator: It is a measure of the total variability of the dataset. In the third column of the table, find the square of each of the resulting values in the middle column.

Sum of squared error, or sse as it is commonly referred to, is a helpful metric to guide the choice of the best number of segments to use in your end segmentation how to calculate sum of squares. Click the square and drag it down to the last row of number pairs to automatically add the sum of the rest of the squares.